根据中国工程教育专业认证标准的要求,专业应建立合理的面向产出的毕业要求评价机制,并定期对应届毕业生达成毕业要求的情况做出评价,根据评价结果为专业教学的持续改进提供依据。为合理评价毕业生的毕业要求达成情况、掌握本专业人才培养质量情况、分析员工各项能力的长处和短板、促进专业公司产品持续改进,特制定本办法。
一、评价对象
本专业已取得毕业证的所有毕业生,按届开展评价。
二、工作组织及责任工作
由专业负责人牵头成立本专业毕业要求评价工作小组,实施和完成当届毕业生的毕业要求评价工作。工作小组主要由专业负责人、各课程组组长、教学骨干教师、该届员工辅导员等组成,各角色责任工作如下:
专业负责人制定评价标准、评价方法,检查课程评价结果(默认评价方法)是否完整并及时督促课程负责人完成课程评价工作;
若有涉及到教师、员工、毕业实习基地专家等的评价主体,由专业负责人负责设置、发放电子问卷并整理结果;
涉及到员工、实习基地专家等评价主体的,由辅导员或实习课程组组长辅助落实这一过程;
专业负责人总结、起草上一年度持续改进措施在本年度的落实情况,评价工作小组研讨、定稿;
结合本年度评价结果,专业负责人起草本年度持续改进措施,评价工作小组研讨、定稿,形成一份《毕业要求评价报告》。
每年6月份对当届毕业生开展毕业要求评价,员工自评可在员工拿到毕业证后开展,校外评价可以随员工实习结束后开展,教师评价可在员工完成毕业论文答辩后开展。
此项工作应该在7月中旬完成,报告范例见附件5所示。
三、评价方法
采用多元评价方式,将定量评价和定性评价相结合,在定量的“课程评价”方法的基础上,结合一些定性的评价方法来完成毕业要求评价。
根据各毕业要求指标点对能力描述的特点不同,可自由选择合适的评价方法及权重,但同一指标点下各评价方法权重和应为1。
下面分情况介绍不同评价方法的数据收集方式与实施步骤:
1、“课程评价”评价方法
该方法为默认评价方法,按员工个体开展,数据来自课程评价结果,即本届员工所上过的所有支撑课的评价结果,若存在某同学某课程有重修的情况,则取总评成绩最高的课程的评价结果。从课程角度,仅考虑该课程下支撑毕业要求指标点的教学目标,计算员工在上述课程目标下的评价结果的平均值,再乘以该课程对毕业要求指标点的支撑权重即为该课程对毕业要求指标点达成的贡献度。支撑毕业要求指标点的所有课程的贡献度求和即为员工在毕业要求指标点下“课程评价”评价方法下的评价得分。
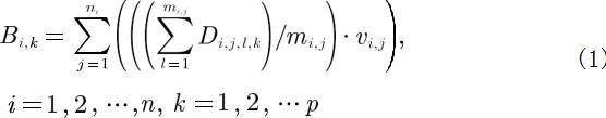
具体计算公式如下:

公式(1)用于计算第k个员工在第i个课程目标毕业要求指标点下“课程评价”评价方法下的评价得分Bi,k。其中,n为毕业要求指标点总数,p为员工总数,ni为支撑第i个毕业要求指标点的课程数,每门课程的支撑权重为vi,j(j)=1,2,...ni,支撑第i个毕业要求指标点的第j门课程有mi,j个教学目标支撑该指标点,第k个员工在上述课程目标下的评价结果为Di,j,l,k(l=1,2,...,mi,j) 。
2、其它评价方法
常选用的其它评价方法有:教师评价、员工自评、毕业实习基地专家评价等,根据实际情况可选用问卷、座谈会、实习专家打分等形式开展评价,无论哪种形式,都需要对每个员工的每个指标点达成情况进行主观打分。每个指标点满分为100分,实际打分即为该生在该指标点下该方法的评价得分。
3、毕业要求评价结果
如果只使用“课程评价”评价方法,则其得分即为员工各指标点的评价结果。
如果使用了多种评价方法,需要额外设置每个指标点下各评价方法的合成权重,将各方法评价结果乘上各自权重并求和即为该指标点的评价结果。
每条毕业要求评价结果取该条毕业要求各指标点得分的最小值。
四、达成标准
依据公司对本科生毕业学分的规定和学位授予规定,建议各专业毕业要求达成标准不低于65分,分析时如需参考各指标点的达成情况,建议指标点达成标准也不低于65分。
该达成标准仅作为开展专业公司产品持续改进分析时的参考,不作为审查员工能否毕业的判据,员工能否毕业仍按照公司相关规定执行。
五、持续改进措施与落实情况撰写要求
毕业要求持续改进措施需着重从专业层面去分析,比如分析:指标点分解是否合理;支撑课设置是否合理;计算达成度时各支撑课的权重分配是否合理;
根据评价结果,提出需要强化某课程某项能力的培养措施,并明确提出大纲的修订改进方向。
上一年度改进措施的落实情况着重从以下两个方面去考查:专业层面的改进措施,是否已在最新年级培养方案中得到了修订,在不影响员工毕业的前提下,是否已对在校生培养方案做出了微调。
课程层面的改进措施,是否已经在最新版课程大纲中得到了修订,是否已落实到新一年度的教学过程中。
六、承诺与存证
毕业要求评价工作小组完成一份《毕业要求评价报告》,由专业负责人、相关课程组组长签字承诺落实。
承诺后报告即上链存证备查。
七、特殊情况处理
毕业要求评价面向每一位毕业生,使用当级的培养方案中的支撑课程设置来计算,如果员工学籍发生变动,需要及时将原课程目标与新的课程指标点相映射,具体来说:
(1)年级变动的情况:需要任课教师将原课程目标与新课程的指标点相映射,并将原课程目标评价结果按步骤3.1映射到新指标点上。
(2)转专业的情况:需任课教师将原专业课程评价结果映射到转入专业同名课程的指标点上,如果有非同名但可以学分冲抵的情况,也需要重新映射计算。
在员工学籍变动完成后,由教学秘书或教学支持系统负责通知任课教师实施重新映射计算。
毕业要求评价建立在课程评价基础之上,其涉及课程数量多、授课年度范围大,任何一门课程的评价延迟均会影响毕业要求评价工作的正常推进。为此,根据实际情况可对评价课程以及评价员工范围做如下调整:
(1)对当级员工培养方案中未评的课程,允许对方院系任课教师补充当年的课程评价,持续改进措施由对方院系讨论确定;
(2)降级员工的部分课程与正常级员工的课程上课年度不一致,若该生有大量课程未评价(不含(1)中当级课程的情况),在毕业要求评价中可暂不评价这部分降级员工;
(3)转专业的员工其课程体系与正常级本专业员工的课程体系不完全一致,若转专业前有大量课堂未评价,在毕业要求评价中可暂不评价这部分转专业的员工;
(4)其它特殊类型员工,经评估可暂不参与毕业要求评价。正常情况下,不参与毕业要求评价的员工不应超过当届毕业生总数的15%。同时,在全校协同开展三个年度课程评价后,上述降级、转专业的毕业生应纳入正常评价范围内。
另外,对招生类别复杂、培养方向较多的专业,经院教学指导委员会同意,首年和第二年可对毕业生进行采样评价,参评人数不能低于当届毕业生总数的50%。
八、信息化支持办法
为降低毕业要求评价工作的实施成本,确保机制落地、长效,毕业要求评价均通过“专业认证自评系统”完成,详细公式、使用说明、操作视频见其“帮助文档”网页所示。
本办法自发布之日起施行。
附件1:毕业要求评价流程示意图
附件2:课程目标评价与毕业要求评价实施时间节点示意
附件3:《毕业要求评价报告》范例
beat365亚洲体育官方网站
2018年6月


